Tardigrade
Tardigrade - CET NEET JEE Exam App
Exams
Login
Signup
Tardigrade
Question
Mathematics
The values of x, for which the 6 text th term in the expansion of (2 log 2 √(9x-1+7)+(1/2(1 / 5) log 2(3x-1+1)))7 is 84 are x1 x2 then find value of x1+x2.
Q. The values of
x
, for which the
6
th
term in the expansion of
(
2
l
o
g
2
(
9
x
−
1
+
7
)
+
2
(
1/5
)
l
o
g
2
(
3
x
−
1
+
1
)
1
)
7
is
84
are
x
1
&
x
2
then find value of
x
1
+
x
2
.
89
201
Binomial Theorem
Report Error
Answer:
3.00
Solution:
[
2
l
o
g
2
(
9
x
−
1
+
7
)
+
2
(
1/5
)
l
o
g
2
(
3
x
−
1
+
1
)
1
]
7
=
[
9
x
−
1
+
7
+
(
3
x
−
1
+
1
)
1/5
1
]
7
Here
T
6
=
84
⇒
7
C
5
⋅
(
9
x
−
1
+
7
)
2
⋅
(
(
3
x
−
1
+
1
)
1/5
1
)
5
=
84
⇒
(
3
x
−
1
+
1
)
21
⋅
(
9
x
−
1
+
7
)
=
84
⇒
9
x
−
1
+
7
=
4
(
3
x
−
1
+
1
)
Put
3
x
−
1
=
t
⇒
t
2
+
7
=
4
t
+
4
⇒
t
2
−
4
t
+
3
=
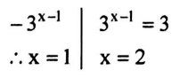
0
⇒
t
=
1
or
t
=
3