Tardigrade
Tardigrade - CET NEET JEE Exam App
Exams
Login
Signup
Tardigrade
Question
Chemistry
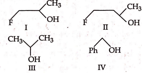
The order of reactivity of the following alcohols towards conc. HCl is
Q. The order of reactivity of the following alcohols towards conc.
H
Cl
is
1640
267
Alcohols Phenols and Ethers
Report Error
A
I
>
II
>
III
>
I
V
B
I
>
III
>
II
>
I
V
C
I
V
>
III
>
II
>
I
D
I
V
>
III
>
I
>
II
Solution:
The order of reactivity depends upon the stability of carbocations formed. The relative stability of the carbocations follows the order:
P
h
C
+
H
2
>
C
H
3
C
+
H
C
H
3
>
FC
H
2
C
H
2
C
+
H
C
H
3
>
FC
H
2
C
+
H
C
H
3
Therefore, the order of reactivity of corresponding alcohols follows the order :
(
I
V
>
III
>
II
>
I
)