- Tardigrade
- Question
- Chemistry
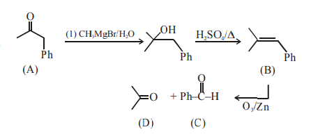
- The compound A in the following reaction is: A xrightarrow[(ii)Conc.H2SO4/Δ](i) CH3MgBr/H2O B xrightarrow[(ii)Zn/H2O](i)O3 C + D <img class=img-fluid question-image alt=image src=https://cdn.tardigrade.in/img/question/chemistry/a6ce424d2747be662325dc3397442b9d-.png /> D xrightarrow[Δ]Ba(OH)2H3C- overset underset|CH3C = CH - overset underset||OC-CH3
Q.
The compound A in the following reaction is :
Solution: