Tardigrade
Tardigrade - CET NEET JEE Exam App
Exams
Login
Signup
Tardigrade
Question
Chemistry
N2 and O2 are converted to mono cations N2+ and O2+ respectively. The wrong statement with respect to given changes in the following is
Q.
N
2
and
O
2
are converted to mono cations
N
2
+
and
O
2
+
respectively. The wrong statement with respect to given changes in the following is
1916
237
NTA Abhyas
NTA Abhyas 2020
Chemical Bonding and Molecular Structure
Report Error
A
the N - N bond weakens
2%
B
the O - O bond order increases
10%
C
the
O
−
O
bond length decreases
5%
D
N
2
+
becomes diamagnetic
82%
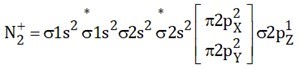
Solution:
B.O or
N
2
=
3
and
N
2
+
=
2.5
As here bond order decreases so
N
−
N
bond get weak
N
2
+
becomes paramagnetic
In case of
O
2
and
O
2
+
B.O or
O
2
=
2
and
O
2
+
=
2.5
as bond order increases so
O
−
O
bond length decreases.