Tardigrade
Tardigrade - CET NEET JEE Exam App
Exams
Login
Signup
Tardigrade
Question
Chemistry
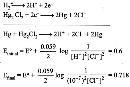
For the cell Pt | H 2( g )| solution X | KCl (saturated) | Hg 2 Cl 2| Hg mid Pt, the observed EMF at 25° C was 600 mV. When solution X was replaced by a standard phosphate buffer with pH =7.00, the EMF was 718 mV. Find the pH of solution X.
Q. For the cell
Pt
∣
H
2
(
g
)
∣
solution
X
∥
K
Cl
(saturated)
∣
H
g
2
C
l
2
∣
H
g
∣
Pt
, the observed
EMF
at
2
5
∘
C
was
600
mV
. When solution
X
was replaced by a standard phosphate buffer with
p
H
=
7.00
, the
EMF
was
718
mV
. Find the
p
H
of solution
X
.
388
217
Electrochemistry
Report Error
Answer:
5
Solution:
subtracting we get
0.118
=
0.059
lo
g
1
0
−
7
[
H
+
]
⇒
1
0
−
7
[
H
+
]
=
100
⇒
[
H
+
]
=
1
0
−
5
⇒
p
H
=
5