Tardigrade
Tardigrade - CET NEET JEE Exam App
Exams
Login
Signup
Tardigrade
Question
Chemistry
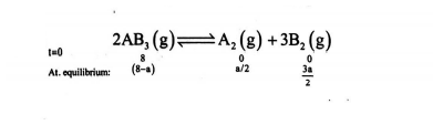
Eight mole of a gas AB 3 attain equilibrium in a closed container of , volume 1 dm 3 as, 2 AB 3 leftharpoons A 2( g )+3 B 2( g ) If at equilibrium 2 mole of A2 are present then, equilibrium constant is:
Q. Eight mole of a gas
A
B
3
attain equilibrium in a closed container of , volume
1
d
m
3
as,
2
A
B
3
⇌
A
2
(
g
)
+
3
B
2
(
g
)
If at equilibrium
2
m
o
l
e
of
A
2
are present then, equilibrium constant is:
3833
259
Equilibrium
Report Error
A
72
m
o
l
2
L
−
2
B
36
m
o
l
2
L
−
2
C
3
m
o
l
2
L
−
2
D
27
m
o
l
2
L
−
2
Solution:
Thus,
K
c
=
[
A
B
3
]
2
[
A
2
]
[
B
2
]
3
;
Also,
2
a
=
2
∴
a
=
4
∴
[
A
B
3
]
=
1
4
;
[
A
2
]
=
1
2
;
[
B
2
]
=
1
6
Thus,
K
c
=
4
2
2
×
6
3
=
27
m
o
l
2
L
−
2