Tardigrade
Tardigrade - CET NEET JEE Exam App
Exams
Login
Signup
Tardigrade
Question
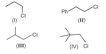
Chemistry
<img class=img-fluid question-image alt=image src=https://cdn.tardigrade.in/img/question/physics/13790020be872fe97d7a7c6327802111-.png /> Write decreasing order of SN2 reaction ?
Q.
Write decreasing order of
S
N
2
reaction ?
1424
257
Report Error
A
I > II > III > IV
56%
B
II > I > III > IV
19%
C
IV > III > II > I
11%
D
IV > III > I > II
15%
Solution:
Correct answer is (b) II > I > III > IV