Tardigrade
Tardigrade - CET NEET JEE Exam App
Exams
Login
Signup
Tardigrade
Question
Chemistry
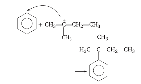
Which one of the following represents the major product of the reaction of benzene with 2, 2-dimethylpropyl chloride in presence of anhydrous aluminium chloride?
Q. Which one of the following represents the major product of the reaction of benzene with
2
,
2
-dimethylpropyl chloride in presence of anhydrous aluminium chloride?
2104
250
UPSEE
UPSEE 2011
Hydrocarbons
Report Error
A
2
,
2
- dimethylpropyl benzene
33%
B
1
,
1
- dimethylpropyl benzene
40%
C
1
,
2
-dimethylpropyl benzene
20%
D
1
,
2
-dimethyl-
1
-propenyl benzene
7%
Solution:
1, 1-dimethylpropyl benzene
or 2 -methybutyl benzene