Tardigrade
Tardigrade - CET NEET JEE Exam App
Exams
Login
Signup
Tardigrade
Question
Chemistry
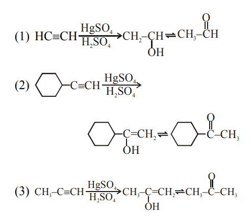
Which one of the following carbonyl compounds cannot be prepared by addition of water on an alkyne in the presence of HgSO 4 and H 2 SO 4 ?
Q. Which one of the following carbonyl compounds cannot be prepared by addition of water on an alkyne in the presence of
H
g
S
O
4
and
H
2
S
O
4
?
5869
274
JEE Main
JEE Main 2021
Aldehydes Ketones and Carboxylic Acids
Report Error
A
12%
B
31%
C
50%
D
8%
Solution:
Reaction of
H
g
S
O
4
/
d
i
l
.
H
2
S
O
4
with alkyne gives addition of water as per markonikoff's rule.
Hence
C
H
3
−
C
H
2
−
C
H
O
cannot be form.