Tardigrade
Tardigrade - CET NEET JEE Exam App
Exams
Login
Signup
Tardigrade
Question
Chemistry
Which of the following set of molecules give same osazone when reacted with excess of phenylhydrazine :-
Q. Which of the following set of molecules give same osazone when reacted with excess of phenylhydrazine :-
58
205
NTA Abhyas
NTA Abhyas 2022
Report Error
A
Glucose and fructose
B
Fructose and galactose
C
Glucose and galactose
D
Galactose and mannose
Solution:
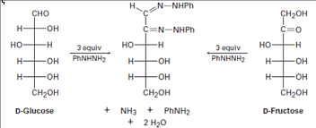
Glucose and fructose are tautomers of each other. Both shown nucleophilic addition reaction with phenylhydrazine and use its three moles to form osazone as shown in reaction: