Tardigrade
Tardigrade - CET NEET JEE Exam App
Exams
Login
Signup
Tardigrade
Question
Chemistry
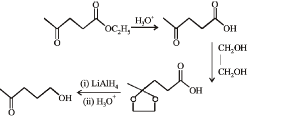
Which of the following reagent(s) used for the conversion?
Q. Which of the following reagent(s) used for the conversion?
3058
247
JEE Main
JEE Main 2013
Aldehydes Ketones and Carboxylic Acids
Report Error
A
glycol/
L
i
A
l
H
4
/
H
3
O
+
B
glycol/NaH/
H
3
O
+
C
LiAl
H
4
D
N
a
B
H
4
Solution:
Correct answer is (a) glycol/
L
i
A
l
H
4
/
H
3
O
+