Tardigrade
Tardigrade - CET NEET JEE Exam App
Exams
Login
Signup
Tardigrade
Question
Chemistry
Which of the following is used to prepare a medicine, which is used in making an important explosive, RDX ?
Q. Which of the following is used to prepare a medicine, which is used in making an important explosive, RDX ?
1765
241
NTA Abhyas
NTA Abhyas 2020
Aldehydes Ketones and Carboxylic Acids
Report Error
A
Acetaldehyde
43%
B
Acetone
14%
C
Formaldehyde
29%
D
None of these
14%
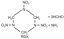
Solution:
Formaldehyde, on treating with ammonia, gives urotropine which is used as medicine and in making an important explosive, cyclonite or RDX