Tardigrade
Tardigrade - CET NEET JEE Exam App
Exams
Login
Signup
Tardigrade
Question
Chemistry
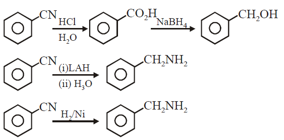
Which of the following is NOT a correct method of the preparation of benzylamine from cyanobenzene ?
Q. Which of the following is NOT a correct method of the preparation of benzylamine from cyanobenzene ?
3763
288
JEE Main
JEE Main 2019
Amines
Report Error
A
(i)
H
Cl
/
H
2
O
(ii)
N
a
B
H
4
50%
B
(i)
L
i
A
I
H
4
(ii)
H
3
O
+
17%
C
(i)
S
n
C
l
2
+
H
Cl
(
g
a
s
)
(ii)
N
a
B
H
4
17%
D
H
2
/
N
i
17%
Solution:
Correct answer is (a) (i)
H
Cl
/
H
2
O
(ii)
N
a
B
H
4