Tardigrade
Tardigrade - CET NEET JEE Exam App
Exams
Login
Signup
Tardigrade
Question
Chemistry
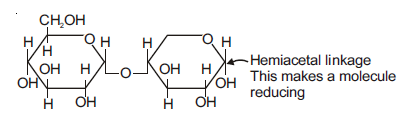
Which of the following is a reducing sugar?
Q. Which of the following is a reducing sugar?
1597
251
Biomolecules
Report Error
A
Glycogen
B
Maltose
C
Sucrose
D
Starch
Solution:
The maltose is a reducing sugar.