Tardigrade
Tardigrade - CET NEET JEE Exam App
Exams
Login
Signup
Tardigrade
Question
Chemistry
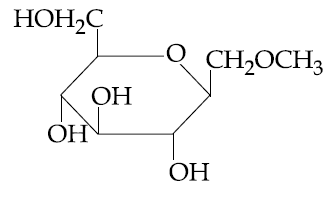
Which of the following compounds will behave as a reducing sugar in an aqueous KOH solution ?
Q. Which of the following compounds will behave as a reducing sugar in an aqueous
K
O
H
solution ?
4508
268
JEE Main
JEE Main 2017
Biomolecules
Report Error
A
17%
B
23%
C
28%
D
32%
Solution:
Sugars in which there is free anomeric
−
O
H
group are reducing sugars