Tardigrade
Tardigrade - CET NEET JEE Exam App
Exams
Login
Signup
Tardigrade
Question
Chemistry
Which of the following compounds is aromatic?
Q. Which of the following compounds is aromatic?
2015
289
AFMC
AFMC 2012
Report Error
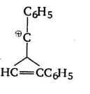
A
B
C
D
Solution:
It is aromatic because the compound is cyclic and number of
π
electrons is
2
which is in according with the Huckel's rule
(
4
n
−
2
)
π
when n=0 according to this number of
π
electrons is
4
×
0
−
2
=
2