Tardigrade
Tardigrade - CET NEET JEE Exam App
Exams
Login
Signup
Tardigrade
Question
Chemistry
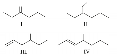
Which of the following alkenes can generate optically active compounds upon hydrogenation? <img class=img-fluid question-image alt=image src=https://cdn.tardigrade.in/img/question/chemistry/556709e989d7d8c89faeccc99ce45087-.png />
Q. Which of the following alkenes can generate optically active compounds upon hydrogenation?
2242
251
KVPY
KVPY 2017
Hydrocarbons
Report Error
A
I, III and IV
67%
B
II and III
33%
C
I and III
0%
D
II and IV
0%
Solution:
The hydrogenation products of given alkenes are as follows
Thus, alkene
I
and
III
generate optically active compounds upon hydrogenation.