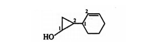
Q. Which is the correct structure of 2(2-cyclohexenyl) cyclopropanol?

 1697  267 Organic Chemistry – Some Basic Principles and Techniques Report Error

Solution:

Cyclopropyl ring with -OH functional group is parent and cyclohexenyl ring is locant
image
2-(2-cyclohexenyl) cyclopropanol
Here, position of -OH is not mentioned in the name because it is understood that numbering starts from that carbon where —OH is present