Tardigrade
Tardigrade - CET NEET JEE Exam App
Exams
Login
Signup
Tardigrade
Question
Chemistry
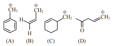
<img class=img-fluid question-image alt=image src=https://cdn.tardigrade.in/img/question/chemistry/16dd9c1c12863154f55c4a3fa1721d85-.png /> Among the given species the Resonance stabilised carbocations are:
Q.
Among the given species the Resonance stabilised carbocations are:
234
232
JEE Main
JEE Main 2021
Organic Chemistry – Some Basic Principles and Techniques
Report Error
A
(
C
)
and
(
D
)
only
4%
B
(
A
)
,
(
B
)
and
(
D
)
only
17%
C
(
A
)
and
(
B
)
only
59%
D
(
A
)
,
(
B
)
and
(
C
)
only
20%
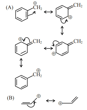
Solution:
(A) and (B) only in Resonance