Tardigrade
Tardigrade - CET NEET JEE Exam App
Exams
Login
Signup
Tardigrade
Question
Chemistry
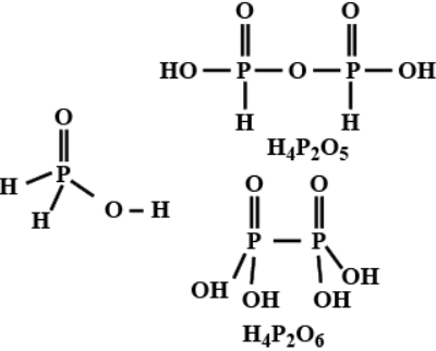
The pair that contains two P-H bonds in each of the oxoacids is :
Q. The pair that contains two P-H bonds in each of the oxoacids is :
3937
265
JEE Main
JEE Main 2019
The p-Block Elements - Part2
Report Error
A
H
3
P
O
2
and
H
4
P
2
O
5
73%
B
H
4
P
2
O
5
and
H
4
P
2
O
6
12%
C
H
3
P
O
3
and
H
3
P
O
2
11%
D
H
3
P
O
3
and
H
3
P
O
2
5%
Solution:
H
3
P
O
2
and
H
4
P
2
O
5
contain
2
P
−
H
bonds as shown in the structure.