Tardigrade
Tardigrade - CET NEET JEE Exam App
Exams
Login
Signup
Tardigrade
Question
Chemistry
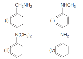
The order of basicity among the following nitrogen compounds is
Q. The order of basicity among the following nitrogen compounds is
1918
278
TS EAMCET 2018
Report Error
A
iv > i > iii > ii
B
iii > i > iv > ii
C
ii > i > iii > iv
D
i > iii > ii > iv
Solution:
Aryl amines have amine group directly attached to aromatic ring. These are weaker bases than arylalkyl amines due to involvement of lone pair of nitrogen in resonance with benzene ring which decreases the availability of lone pair of
e
−
on nitrogen.