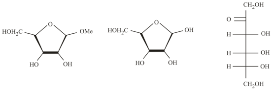
Q. The number of reducing sugars among the following is____________
Question
Question

 347  206 NTA AbhyasNTA Abhyas 2022 Report Error

Answer: 2

Solution:

The sugars which can reduce Tollen;s reagent or Fehling's solution are called reducing sugars. Those sugars which contain anomeric hydroxy group, can reduce Tollen's reagent. Both aldoses and ketoses are reducing sugars.
Solution