Tardigrade
Tardigrade - CET NEET JEE Exam App
Exams
Login
Signup
Tardigrade
Question
Biology
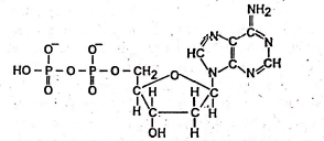
The molecule shown below is: <img class=img-fluid question-image alt=image src=https://cdn.tardigrade.in/img/question/biology/57a865d808524cf46578eb121c2759f5-.png />
Q. The molecule shown below is:
1994
240
Biomolecules
Report Error
A
dATP
0%
B
dADP
100%
C
dAMP
0%
D
a polysaccharide
0%
Solution:
Correct answer is (b) dADP