Tardigrade
Tardigrade - CET NEET JEE Exam App
Exams
Login
Signup
Tardigrade
Question
Chemistry
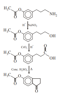
The major product of the following reaction is: (i) NaNO 2 / H + (ii) CrCO 3 / H + (iii) H 2 SO 4 (conc.),Δ
Q. The major product of the following reaction is:
(i)
N
a
N
O
2
/
H
+
(ii)
C
r
C
O
3
/
H
+
(iii)
H
2
S
O
4
(
co
n
c
.
)
,
Δ
19882
264
JEE Main
JEE Main 2019
Aldehydes Ketones and Carboxylic Acids
Report Error
A
0%
B
67%
C
0%
D
33%
Solution:
Correct answer is (b)