Tardigrade
Tardigrade - CET NEET JEE Exam App
Exams
Login
Signup
Tardigrade
Question
Chemistry
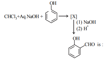
The intermediate X, in the reaction
Q. The intermediate
X
, in the reaction
256
208
JEE Main
JEE Main 2022
Alcohols Phenols and Ethers
Report Error
A
5%
B
18%
C
66%
D
11%
Solution:
It's a classic Reimer-Tiemann reaction.
Will be the intermediate formed.