Tardigrade
Tardigrade - CET NEET JEE Exam App
Exams
Login
Signup
Tardigrade
Question
Chemistry
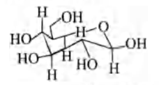
The following carbohydrate is
Q. The following carbohydrate is
1667
281
IIT JEE
IIT JEE 2011
Biomolecules
Report Error
A
a ketohexose
B
an aldohexose
C
an
α
-furanose
D
an
α
−
pyranose
Solution:
Here, the
−
O
H
of hemiacetal group is equatorial therefore, it is a (
β
-pyranose of an aldohexose