Tardigrade
Tardigrade - CET NEET JEE Exam App
Exams
Login
Signup
Tardigrade
Question
Chemistry
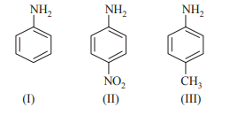
The correct increasing order of basic strength for the following compounds is
Q. The correct increasing order of basic strength for the following compounds is __________
1465
252
Amines
Report Error
A
II
<
III
<
I
2%
B
III
<
I
<
II
5%
C
III
<
II
<
I
2%
D
II
<
I
<
III
90%
Solution:
Electron donating
−
C
H
3
group increases the basicity while electron withdrawing
−
N
O
2
group decreases the basicity of amines.