Tardigrade
Tardigrade - CET NEET JEE Exam App
Exams
Login
Signup
Tardigrade
Question
Mathematics
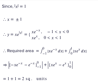
The area bounded by y=xe|x| and the lines |x|=1, y=0 is
Q. The area bounded by
y
=
x
e
∣
x
∣
and the lines
∣
x
∣
=
1
,
y
=
0
is
77
203
NTA Abhyas
NTA Abhyas 2022
Application of Integrals
Report Error
A
4
s
q
.
u
ni
t
s
B
6
s
q
.
u
ni
t
s
C
1
s
q
.
u
ni
t
s
D
2
s
q
.
u
ni
t
s
Solution: