Tardigrade
Tardigrade - CET NEET JEE Exam App
Exams
Login
Signup
Tardigrade
Question
Chemistry
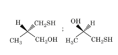
The absolute configurations of the following compounds <img class=img-fluid question-image alt=image src=https://cdn.tardigrade.in/img/question/chemistry/2a5ef40cdc28616262b7e86a27873d23-.png /> respectively, are
Q. The absolute configurations of the following compounds
respectively, are
1458
243
KVPY
KVPY 2019
Haloalkanes and Haloarenes
Report Error
A
R and R
B
S and S
C
R and S
D
S and R
Solution:
Using
C
I
P
(Cahn-Ingold-Prelog) ranking method,
C
H
2
S
H
>
C
H
2
O
H
>
C
H
3
>
H
is the ranking order.