- Tardigrade
- Question
- Chemistry
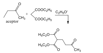
- The 1,4 -addition of active methylene compounds to α, β-unsaturated compounds in the presence of base (sodium ethoxide or piperidine)is referred as 'Michael addition'. The α, β-unsaturated compound is regarded as acceptor while reactive methylene compound as donor <img class=img-fluid question-image alt=image src=https://cdn.tardigrade.in/img/question/chemistry/619d37c7d6ce0a28f3cdd25856f5a3a2-.png /> The mechanism of the reaction is given as, <img class=img-fluid question-image alt=image src=https://cdn.tardigrade.in/img/question/chemistry/ed61daae3fa943abc7ddc47ab516c957-.png /> Which of the following statements is correct?
Q.
The 1,4 -addition of active methylene compounds to -unsaturated compounds in the presence of base (sodium ethoxide or piperidine)is referred as 'Michael addition'. The -unsaturated compound is regarded as acceptor while reactive methylene compound as donor
The mechanism of the reaction is given as,
Which of the following statements is correct?
Solution: