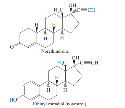
Q. Statement I Norethindrone is a synthetic progesterone derivative.
Statement II Ethynylestradiol is a synthetic estrogen derivative.

 71  205 Chemistry in Everyday Life Report Error

Solution:

Both the statements are true.

Solution Image