Tardigrade
Tardigrade - CET NEET JEE Exam App
Exams
Login
Signup
Tardigrade
Question
Chemistry
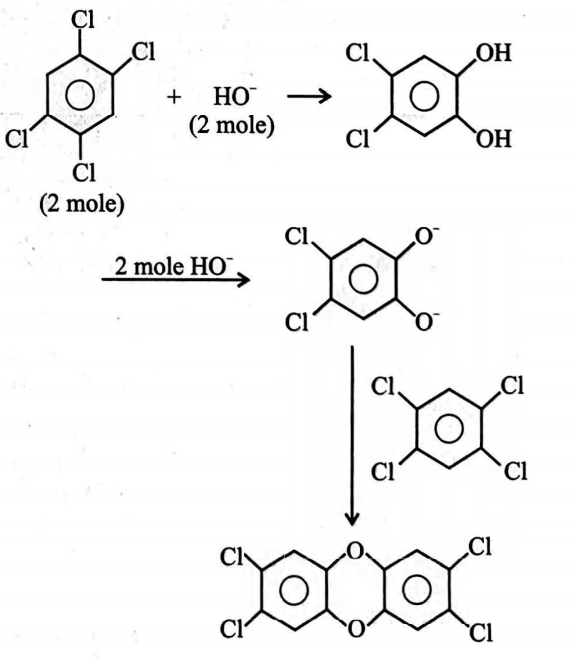
<img class=img-fluid question-image alt=image src=https://cdn.tardigrade.in/img/question/chemistry/382b89503193366e46be71bc25516dce-.png /> Product (A) of the given reaction is:
Q.
Product (A) of the given reaction is:
1936
246
Haloalkanes and Haloarenes
Report Error
A
B
C
D
Solution:
Correct answer is (b)