Tardigrade
Tardigrade - CET NEET JEE Exam App
Exams
Login
Signup
Tardigrade
Question
Chemistry
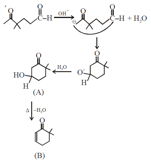
In the following reactions, products A and B are :
Q. In the following reactions, products
A
and
B
are :
2654
256
JEE Main
JEE Main 2019
Aldehydes Ketones and Carboxylic Acids
Report Error
A
0%
B
12%
C
62%
D
25%
Solution:
Correct answer is (d)