Tardigrade
Tardigrade - CET NEET JEE Exam App
Exams
Login
Signup
Tardigrade
Question
Chemistry
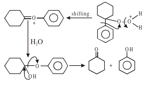
In the following reaction <img class=img-fluid question-image alt=image src=https://cdn.tardigrade.in/img/question/chemistry/ec78596e71c6b1e4cf4de2af69bb49da-.png /> X and Y, respectively are :
Q. In the following reaction
X and Y, respectively are :
1791
243
KVPY
KVPY 2020
Report Error
A
B
C
D
Solution: