Q. In radioactive reaction
https://cdn.mathpix.com/snip/images/f2F5c0qmJRZxp0vCFecVMy4Lt8GhR0O6j84XFXJfXug.original.fullsize.png
Successive emission of particles is

 65  218 NTA AbhyasNTA Abhyas 2022 Report Error

Solution:

Solution
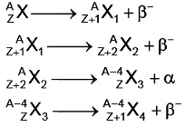
Given the radioactive reaction,

In the first step, the proton number increases by and hence it is decay.
In the second step, the same as first step, so decay.
In the third step, the proton number reduces by and the nucleon number reduces by , hence it is an decay.
In the fourth step, it is the same as the first step, so decay.