Tardigrade
Tardigrade - CET NEET JEE Exam App
Exams
Login
Signup
Tardigrade
Question
Mathematics
If α, β, γ are the 3 positive roots of cubic x 3- ax 2+ bx -16 √6=0 then the minimum value of ((4/α β)+(3/β γ)+(2/γ α)) is
Q. If
α
,
β
,
γ
are the 3 positive roots of cubic
x
3
−
a
x
2
+
b
x
−
16
6
=
0
then the minimum value of
(
α
β
4
+
β
γ
3
+
γ
α
2
)
is
439
154
Sequences and Series
Report Error
A
1
B
2
3
C
3
2
D
4
3
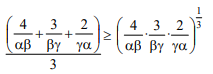
Solution:
A.M.
≥
G.M.