Tardigrade
Tardigrade - CET NEET JEE Exam App
Exams
Login
Signup
Tardigrade
Question
Chemistry
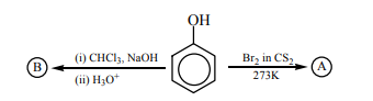
Identify the major products A and B respectively in the following reactions of phenol <img class=img-fluid question-image alt=image src=https://cdn.tardigrade.in/img/question/chemistry/2225b09dda8aeadd8fa2c7abd063ae72-.png />
Q. Identify the major products
A
and
B
respectively in the following reactions of phenol
2154
307
JEE Main
JEE Main 2021
Alcohols Phenols and Ethers
Report Error
A
17%
B
78%
C
6%
D
0%
Solution:
Correct answer is (b)