Tardigrade
Tardigrade - CET NEET JEE Exam App
Exams
Login
Signup
Tardigrade
Question
Chemistry
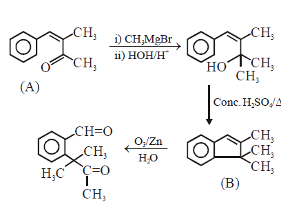
Identify (A) in the following reaction sequence:
Q. Identify (A) in the following reaction sequence:
3371
280
JEE Main
JEE Main 2020
Aldehydes Ketones and Carboxylic Acids
Report Error
A
B
C
D
Solution:
Correct answer is (d)