Tardigrade
Tardigrade - CET NEET JEE Exam App
Exams
Login
Signup
Tardigrade
Question
Chemistry
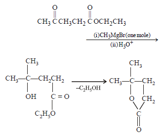
CH3 overset underset||OCCH2CH2 overset underset||OCOCH2CH3 ->[(i) CH3MgBr text(one mole)][(ii) H3O+] A A is formed in this reaction is
Q.
C
H
3
C
∣∣
O
C
H
2
C
H
2
C
∣∣
O
OC
H
2
C
H
3
(
i
)
CH
X
3
MgBr
(one mole)
(
ii
)
H
X
3
O
X
+
A
A
is formed in this reaction is
4461
229
VITEEE
VITEEE 2013
Report Error
A
C
H
3
C
∣
H
3
C
∣
O
H
C
H
2
C
H
2
C
∣∣
O
OC
H
2
C
H
3
B
C
H
3
C
∣∣
O
C
H
2
C
H
2
C
∣∣
O
C
H
3
C
D
C
H
3
O
∣
H
C
∣
C
H
3
C
H
2
C
H
2
O
∣
H
C
∣
C
H
3
C
H
3
Solution:
Keto group is more reactive for addition of Grignard reagent.