Tardigrade
Tardigrade - CET NEET JEE Exam App
Exams
Login
Signup
Tardigrade
Question
Chemistry
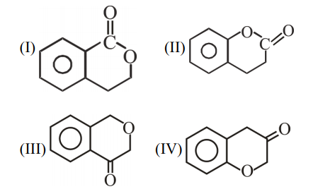
Correct order of reactivity toward electrophilic substitution reaction is :-
Q. Correct order of reactivity toward electrophilic substitution reaction is :-
1465
242
Report Error
A
IV > I > II > III
40%
B
II > IV > III > I
0%
C
III > II > I > IV
40%
D
IV > II > I > III
20%
Solution:
Reactivity towards ESR
∝
e
−
density in benzene
∝
−
M
,
−
H
,
−
I
+
M
,
+
H
,
+
I