Tardigrade
Tardigrade - CET NEET JEE Exam App
Exams
Login
Signup
Tardigrade
Question
Chemistry
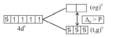
Considering that Δ0> P, the magnetic moment (in BM) of [ Ru ( H 2 O )6]2+ would be
Q. Considering that
Δ
0
>
P
, the magnetic moment (in BM) of
[
R
u
(
H
2
O
)
6
]
2
+
would be
2517
254
JEE Main
JEE Main 2020
Coordination Compounds
Report Error
Answer:
00
Solution:
Magnetic moment (in B.M.) of
[
R
u
(
H
2
O
)
6
]
2
+
would be; while considering that
Δ
0
>
P
R
u
(
44
)
;
[
Kr
]
4
d
7
5
s
1
(in ground state)
⇒
In
R
u
2
+
⇒
4
d
6
⇒
(
t
2
g
)
6
(
e
g
)
0
⇒
Here number of unpaired electrons in
R
u
2
+
=
(
t
2
g
)
6
(
e
g
)
0
=
0
and Hence
μ
m
=
n
(
n
+
2
)
B
⋅
M
=
0
B
.
M