Tardigrade
Tardigrade - CET NEET JEE Exam App
Exams
Login
Signup
Tardigrade
Question
Chemistry
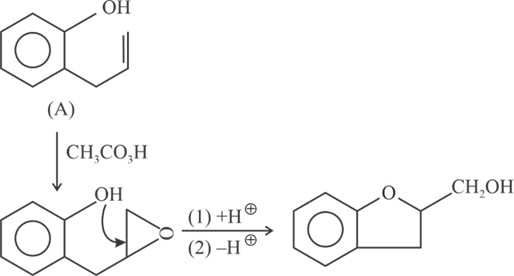
Consider the following reaction and identify (.B.) . <img class=img-fluid question-image alt=Question src=https://cdn.tardigrade.in/q/nta/c-aimqtcsaarkaaqt2.jpg />
Q. Consider the following reaction and identify
(
B
)
.
188
215
NTA Abhyas
NTA Abhyas 2022
Report Error
A
B
C
D
Solution:
Epoxidation is the chemical reaction which converts the carbon-carbon double bond into oxiranes (epoxides), using a variety of reagents including air oxidation, hypochlorous acid, hydrogen peroxide, and organic peracid.