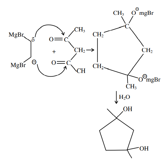
Q. image
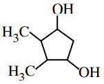
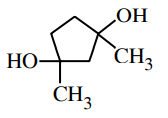
Consider the above reaction sequence and identify the product .

 513  214 JEE MainJEE Main 2022Aldehydes Ketones and Carboxylic Acids Report Error

Solution:

Although Acetyl Acetone predominantly gives Acid base reaction with G.R due to Active methylene group but according to given option ans should be based on nucleophilic addition reaction (NAR).

Solution Image