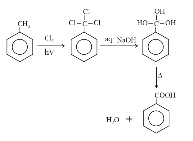
Q. Chlorination of toluene in presence of light and heat followed by treatment with aqueous NaOH gives

 623  226 NTA AbhyasNTA Abhyas 2022 Report Error

Solution:

Initially toluene reacts with chlorine to show free radical substitution reaction.
In the next step nucleophilic substitution reaction takes place due to the treatment with aqueous sodium hydroxide and finally benzoic acid is formed by the removal of water.
Solution