Q. image
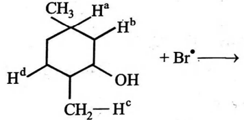
will abstract which of the hydrogen most readily?

 1142  215 Hydrocarbons Report Error

Solution:

Due to high selectivity of bromine it abstracts that hydrogen which forms stable free- radical.

Solution Image