Tardigrade
Tardigrade - CET NEET JEE Exam App
Exams
Login
Signup
Tardigrade
Question
Chemistry
Bakelite is made from phenol and formaldehyde. The initial reaction between the two compounds is an example of
Q. Bakelite is made from phenol and formaldehyde. The initial reaction between the two compounds is an example of
1795
247
BVP Medical
BVP Medical 2015
Report Error
A
free radical reaction
B
aldol reaction
C
aromatic electrophilic substitution
D
aromatic nucleophilic substitution
Solution:
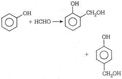
This is first step during bakelite formation showing
S
E
reaction on phenol.