Tardigrade
Tardigrade - CET NEET JEE Exam App
Exams
Login
Signup
Tardigrade
Question
Chemistry
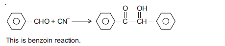
Aromatic aldehydes undergoes condensation on heating with an ethanolic solution of KCN. This reaction is called as
Q. Aromatic aldehydes undergoes condensation on heating with an ethanolic solution of
K
CN
. This reaction is called as
1458
284
Aldehydes Ketones and Carboxylic Acids
Report Error
A
Perkin reaction
B
Benzoin condensation
C
Claisen condensation
D
Cannizzaro’s reaction
Solution:
Correct answer is (b) Benzoin condensation