Tardigrade
Tardigrade - CET NEET JEE Exam App
Exams
Login
Signup
Tardigrade
Question
Chemistry
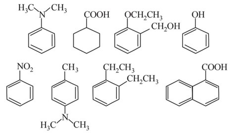
Amongst the following, the total number of compounds soluble in aqueous NaOH is <img class=img-fluid question-image alt=Question src=https://cdn.tardigrade.in/q/nta/c-ozspeujajxdnsmhj.jpg />
Q. Amongst the following, the total number of compounds soluble in aqueous
N
a
O
H
is
572
209
NTA Abhyas
NTA Abhyas 2022
Report Error
Answer:
4
Solution:
All carboxylic acids and phenols are soluble in aqueous
N
a
O
H
. Four compounds are soluble in aqueous
N
a
O
H
.