Tardigrade
Tardigrade - CET NEET JEE Exam App
Exams
Login
Signup
Tardigrade
Question
Chemistry
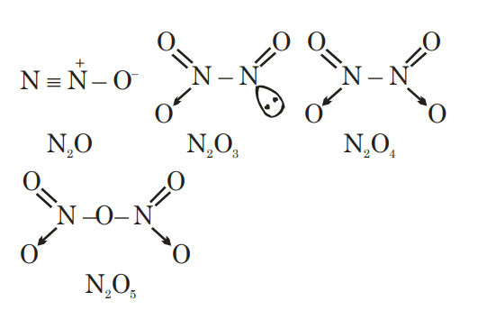
Among the given oxides of nitrogen; N 2 O , N 2 O 3, N 2 O 4 and N 2 O 5, the number of compound/(s) having N - N bond is :
Q. Among the given oxides of nitrogen;
N
2
O
,
N
2
O
3
,
N
2
O
4
and
N
2
O
5
, the number of compound/(s) having
N
−
N
bond is :
201
208
JEE Main
JEE Main 2022
The p-Block Elements - Part2
Report Error
A
1
0%
B
2
33%
C
3
67%
D
4
0%
Solution:
Correct answer is (c) 3